Trigonometric Functions
You must show detailed reasoning in every question.
- Find all the angles between
and such that
(a)
(b) - Solve the equation
for . - Solve the equation
for . - (a) Solve the equation
for .
(b) Sketch the graphs ofand for on the same axes, and indicate the roots found in part (i) on your graph. - A function is defined by
.
(a) Write down the maximum domain and range of this function.
(b) Find the exact value of.
Find the inverse function . - (a) Prove that
.
(b) Hence solve the equation
for
.
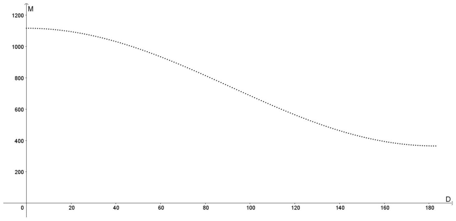
7. Table 1 gives the lengths of the longest and shortest days in Stockholm, Sweden in 2018.
7. Table 1 gives the lengths of the longest and shortest days in Stockholm, Sweden in 2018.
| Day,
|
Date | Sunrise | Sunset |
|
||
| 0 |
|
|
|
1117 | ||
| 183 |
|
0843 | 1448 | 365 |
\captionsetup{labelformat=empty}
Table 1: Table 1
These data points are used to model the number of minutes of sunlight each day across this period as shown below.
Figure 1: MEI A level Maths Trig functions Assessment
\captionsetup{labelformat=empty}
(a) The algebraic model used is of the form
.
Find the values of
and
.
(b) According to the model, which was the first day in this period on which there was less than 12 hours of sunlight?
(b) According to the model, which was the first day in this period on which there was less than 12 hours of sunlight?